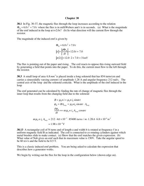
how to site

How To Calculate Magnetic Flux Through A Loop

General Physics Ii
www.ux1.eiu.edu

Faraday S Law Calculator
www.omnicalculator.com

Chapter 22 Example 6 Rectangular Loop Moving Through Magnetic Field Youtube
www.youtube.com

Solved 1 Ch 25 3 A Write The Equation For The Magnet Chegg Com
www.chegg.com

Solved 1 Ch 25 3 A Write The Equation For The Magnet Chegg Com
www.chegg.com

A Circular Loop Of Wire Of Radius A Is Placed In A Uniform Magnetic Field With The Plane Of The Loop Perpendicular To The Direction Of The Field The M Physics
www.topperlearning.com

Units of magnetic flux f are t m 2.

How to calculate magnetic flux through a loop. The dimension of a rectangular loop is 050m and 060m. Any change in magnetic flux f induces an emfthe process is defined to be electromagnetic induction. Figure 233 the magnetic flux through a loop.

The magnetic flux often denoted f or f b through a surface is the component of the magnetic field passing through that surface. Therefore h 900 and f 0. Magnetic flux is defined as a measure of magnetism through a specific area or surface.

A the loop is perpendicular to the field. This magnetic flux calculator calculates the magnetic flux of an object based on the magnitude of the magnetic field which the object emanates the area of the object and the angle of the object from the 900 perpendicular angle according to the formula f bacosa if the magnetic field is at a non 900 angle non perpendicular to the area of the object. The crucial quantity in induction is magnetic flux f defined to be f ba cos o where b is the magnetic field strength over an area a at an angle o with the perpendicular to the area.

Hence h 0 and f ba. C for a general. B and o are 002t and 450 respectively.

The magnetic flux formula is given by where b magnetic field a surface area and. If the magnetic field isperpendicular to the object then use the calculator above which computes the magnetic flux at. The magnetic flux through a loop of area a is f ba cosh where his the angle between the normal to the loop and the magnetic field.

O angle between the magnetic field and normal to the surface. This demonstration allows the user to visualize changes in magnetic flux through a loop of wire by changing the magnetic field and the loops radius and location. In the most general form magnetic flux is defined as fb abda f b a b d a.

The Figure Below Shows Three Edge Views Of A Square Loop With Sides Of Length L 0 425 M In Magnetic Field Of Magnitude 3 00 T Calculate The Magnetic Flux Through The
study.com

Problem Set 21
tuhsphysics.ttsd.k12.or.us

Physics Equations Magnetic Field Calculations Wikiversity
en.wikiversity.org

Solved Calculate The Magnetic Flux Through A Rectangular Chegg Com
www.chegg.com

New Page 1
www.pstcc.edu

Faraday S Law
hyperphysics.phy-astr.gsu.edu

Solved The Magnetic Flux Through The Loop Shown In The Fi Chegg Com
www.chegg.com

20 2 Electromagnetic Induction Texas Gateway
www.texasgateway.org

Mastering Physics Solutions Chapter 23 Magnetic Flux And Faraday S Law Of Induction A Plus Topper
www.aplustopper.com

Physics For Science Engineering Ii Example Magnetic Field Of A Current Loop
pages.uncc.edu

What Is Magnetic Flux Article Khan Academy
www.khanacademy.org

Perfectly Conducting Loop Of Wire Moving Through A Uniform And Stationary Magnetic Field
www.scielo.br

Solved Example 31 2 An Exponentially Decaying B Field Pro Chegg Com
www.chegg.com

Https Tsapps Nist Gov Publication Get Pdf Cfm Pub Id 10634

Solved Example 31 2 An Exponentially Decaying B Field Pro Chegg Com
www.chegg.com

Solved Calculate Magnetic Flux And A Change In Flux A Co Chegg Com
www.chegg.com

Magnetic Field Of A Current Loop
cnx.org

Https Web Njit Edu Janow Physics 20121 20fall 202019 Solved 20homework 20problems 20 20hr Probhr11sol Pdf

What Is Faraday S Law Article Khan Academy
www.khanacademy.org

Magnetic Flux Through A Loop Of Wire Wolfram Demonstrations Project
demonstrations.wolfram.com

Https Encrypted Tbn0 Gstatic Com Images Q Tbn 3aand9gcroxey 5kzvbcy1reiopab66lr9vb3b650nxfafg0icc4zt4esg Usqp Cau
encrypted-tbn0.gstatic.com

Basic Principles Gpg 0 0 1 Documentation
gpg.geosci.xyz

Physics Problems Magnetism Magnetic Flux Magnetic Induction
www.solvephysics.com

Https Encrypted Tbn0 Gstatic Com Images Q Tbn 3aand9gcroyuhwqi Vnf4npuqx5dda9y2oyqpnbdoh6evywuumktnru7r9 Usqp Cau
encrypted-tbn0.gstatic.com

A Long Straight Wire Carrying Current I And A Square Conducting Wi
doubtnut.com

Devil Physics The Baddest Class On Campus Ib Physics Ppt Video Online Download
slideplayer.com

Http Www Physics Umd Edu Courses Phys270 Jenkins Hwksolns2ta Pdf

Electromagnetic Induction Square Loop Across A Magnetic Field Youtube
www.youtube.com

Http Www Csun Edu Nkioussi 100b Spring10 Chapter 2023 Pdf

Ch 13 Problems University Physics Volume 2 Openstax
openstax.org

Http Www Csun Edu Rd436460 100b Lectures Chapter23 3 4 Pdf

Magnetic Field Of A Current Loop
hyperphysics.phy-astr.gsu.edu

2

New Page 1
www.pstcc.edu

Chapter 22
www.pstcc.edu

What Is The Magnitude Of Magnetic Field At The Centre Of A Hexagonal Loop Of A Metallic Wire Having Each Side A And Carrying Current I Mi 3 Pa Quora
www.quora.com

Magnetic Flux Iopspark
spark.iop.org

Http Www Physics Umd Edu Courses Phys270 Jenkins Hwksolns2ta Pdf

Magnetic Flux Wikipedia
en.wikipedia.org

20 2 Electromagnetic Induction Texas Gateway
www.texasgateway.org

Solved Which Loop Has A Larger Magnetic Flux Through It Chegg Com
www.chegg.com

Http Www Cabrillo Edu Jmccullough Example Problems 4b Ch 30 Solutions Pdf

Magnetic Torques And Amp S Law
spiff.rit.edu

What Is Magnetic Flux Article Khan Academy
www.khanacademy.org

Experiment 5 Faraday S Law
studylib.net

30 5 Magnetic Flux 30 Fig 30 Co P Ppt Video Online Download
slideplayer.com

Magnetic Flux From An Infinit Wire Through A Square Loop Physics Stack Exchange
physics.stackexchange.com

3 In The Figure Below The Magnetic Flux Through The Loop Shown Increases According To The Homeworklib
www.homeworklib.com

The Magnetic Flux Through A Single Loop Coil Is Given By The Figure Calculate The Induced Emf At The Times T 0 25 S And T 0 55 S Study Com
study.com

Magnetic Flux Induction And Faraday S Law Boundless Physics
courses.lumenlearning.com

Ch 13 Problems University Physics Volume 2 Openstax
openstax.org

Mastering Physics Solutions Chapter 23 Magnetic Flux And Faraday S Law Of Induction A Plus Topper
www.aplustopper.com

What Is Magnetic Flux Article Khan Academy
www.khanacademy.org

Perfectly Conducting Loop Of Wire Moving Through A Uniform And Stationary Magnetic Field
www.scielo.br


www.bartleby.com

What Is Faraday S Law Of Induction Live Science
www.livescience.com

13 3 Lenz S Law Physics Libretexts
phys.libretexts.org

Induced Emf
physics.bu.edu

Magnetic Fields Due To A Solenoid
plasma.kulgun.net

Chapter 30 30 1 In Fig 30 37 The Magnetic Flux Through The Loop
www.yumpu.com

Perfectly Conducting Loop Of Wire Moving Through A Uniform And Stationary Magnetic Field
www.scielo.br

Answered Problem 9 A Loop Of Wire With Radius Bartleby
www.bartleby.com

Magnetic Dipoles
sites.science.oregonstate.edu

Magnetic Induction Problem Induction In A Loop Of Wire Physics University Of Wisconsin Green Bay
www.uwgb.edu

Magnetism Magnetic Field Of Steady Currents Britannica
www.britannica.com

Induced Emf Experiment When The Switch Is Closed The Ammeter Deflects Momentarily There Is An Induced Emf In The Secondary Coil Producing An Induced Ppt Download
slideplayer.com

New Page 1
www.pstcc.edu

Magnetic Flux Notes W S
studylib.net

Https Web Njit Edu Janow Physics 20121 20fall 202019 Solved 20homework 20problems 20 20hr Probhr11sol Pdf

New Page 1
www.pstcc.edu

Ampere S Law
online.cctt.org

Chapter 22
www.pstcc.edu

Actucation
www.actucation.com

Http Www Physics Umd Edu Courses Phys122 Streets 25 Em Induction And Waves Pdf

Faraday S Law
hyperphysics.phy-astr.gsu.edu

Torque On A Current Loop Motors And Meters Physics
courses.lumenlearning.com

Answer A Circular Loop Of Wire Of Radius Clutch Prep
www.clutchprep.com

Problem Solving 7 Faraday S Law
studylib.net

Magnetic Field Of A Current Loop
hyperphysics.phy-astr.gsu.edu

Magnetism Magnetic Field Of Steady Currents Britannica
www.britannica.com

Https Encrypted Tbn0 Gstatic Com Images Q Tbn 3aand9gcss7exrianug4015sk Uixma8qg9rdspt0bxptcn1dk Ixdnq2q Usqp Cau
encrypted-tbn0.gstatic.com

Induced Emf
physics.bu.edu

Https Encrypted Tbn0 Gstatic Com Images Q Tbn 3aand9gcrqip95dg09hvywccysxm6h8sinwqmrtbyrqgkekn70hasl8tnh Usqp Cau
encrypted-tbn0.gstatic.com

Bar Magnet Dropped Through Coil Physics Stack Exchange
physics.stackexchange.com

Answered A What Is The Magnetic Flux Through Bartleby
www.bartleby.com

Masteringphysics Print View With Answers
www.yumpu.com

2

3 In The Figure Below The Magnetic Flux Through The Loop Shown Increases According To The Homeworklib
www.homeworklib.com

Magnetic Flux Induction And Faraday S Law Boundless Physics
courses.lumenlearning.com

Magnetic Field Of A Current Loop
hyperphysics.phy-astr.gsu.edu

Mastering Physics Solutions Chapter 23 Magnetic Flux And Faraday S Law Of Induction A Plus Topper
www.aplustopper.com

Magnetic Field From A Square Loop Using Biot Savart Youtube
www.youtube.com

What Is Magnetic Flux Article Khan Academy
www.khanacademy.org

Magnetic Field Of A Current Loop
hyperphysics.phy-astr.gsu.edu

Magnetic Flux Through A Rectangular Loop Physics And Mathematics Physics Lessons Engineering Science
www.pinterest.com

Https Web Njit Edu Janow Physics 20121 20fall 202019 Solved 20homework 20problems 20 20hr Probhr11sol Pdf

11 6 Force And Torque On A Current Loop Physics Libretexts
phys.libretexts.org

In The Figure The Magnetic Flux Through The Loop Increases According To The Relation Youtube
www.youtube.com