how to site

How To Find General Form Of A Line

Functions And Graphs
www.mathgotserved.com

How To Find Slope Of The Line If General Form Of Equation Of Line Is Given Video Dailymotion
www.dailymotion.com

Solved 20 1 Points Details Larpcalclim3 11 4 023 My Chegg Com
www.chegg.com

How To Find The Vertex Of A Parabola Standard Form Factored Vertex Form Youtube
www.youtube.com

Video Finding The Equation Of A Line In General Form Nagwa
www.nagwa.com

Slope Intercept Form Y Mx Cy Mx C General Form Ax By C 0 In Slope Intercept Form The When The Equation Of Straight Ac A How To Find The Ppt Download
slideplayer.com

We can convert this line to general form by bringing all variables and numbers to one side of the equals sign and then eliminating any denominators by multiplication.

How to find general form of a line. To calculate the general form linear equation for a line that includes the two points 3 1 and 3 2. Develop the slope point form for the line. The general form of the equation of a straight line is.

Suppose that we have a line in the form y mx b. Given two points x1y1 and x2y2 the slope between the points is. Xxxm y2 y1 x2 x1.

Determine the slope m. Y mx b. Converting to general form.

A or b can be zero but not both at the same time. Y2 y1 x2 x1 2 1 3 3 36 1 2. Xxxy y1 mx x1 using 12 as x1y1 and 54 as x2y2.

From the slope calculate variables a and b with the equation. For example the following math shows the procedure for converting the line y frac23x 3 into general form. The general form is not always the most useful form and you may prefer to use.

The slope point form is. Ax by c 0.

Lesson Equation Of A Straight Line General Form Nagwa
www.nagwa.com

Convert From The Slope Intercept Form To The Standard Form Youtube
www.youtube.com

Solved Find The General Form Of The Equation Of The Plane Chegg Com
www.chegg.com

2

Solved Find An Equation For The Line With The Given Prope Chegg Com
www.chegg.com

Definition Slope Of A Line Ppt Download
slideplayer.com

Https Encrypted Tbn0 Gstatic Com Images Q Tbn 3aand9gcqla655 Pv5eh5fzivttclohrbxwkgx03q2pejeoefduywa6hm4 Usqp Cau
encrypted-tbn0.gstatic.com

Math14 Lesson 5
www.slideshare.net

Exercise 5 1 Circle Problem Questions With Answer Solution
www.brainkart.com

Graphs Of Equations
rfrith.uaa.alaska.edu

Solved Find A General Form Of An Equation Of The Line Thr Chegg Com
www.chegg.com

How Do You Find A General Form Equation For The Line Through The Pair Of Points 1 2 And 5 4 Socratic
socratic.org

Write Standard Form When Given Two Points Youtube
www.youtube.com

Writing Equations In Standard Form
www.algebra-class.com

Write The Equation Of A Circle In General Form Youtube
www.youtube.com

Video Finding The Equation Of A Line In General Form Nagwa
www.nagwa.com

Solved Question 15 1 Point Find The General Form Of The Chegg Com
www.chegg.com

Intro To Slope Intercept Form Y Mx B Algebra Video Khan Academy
www.khanacademy.org

Solved Find An Equation For The Line With The Given Prope Chegg Com
www.chegg.com

Bba I Bm U 4 Coordinate Geometry
www.slideshare.net

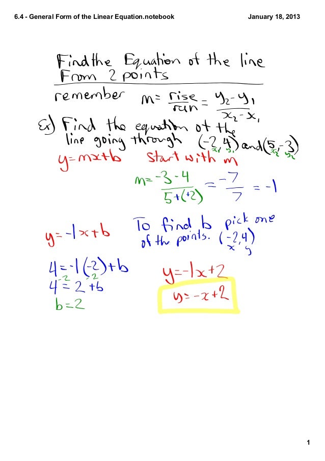
6 4 General Form Of The L Inear Equation
www.slideshare.net

Exercise 5 4 General Form Of A Straight Line Problem Questions With Answer Solution Mathematics
www.brainkart.com

Coordinate Geometry Hessian Normal Form Of Equation Of Line Distance Between A Point And A Line In 3d
www.nabla.hr

Solved Use The Intercept Form To Find The General Form Of Chegg Com
www.chegg.com

Alg 2 10 6 How To Find The Standard Form Of A Conic Equation From A General Form Equation On Vimeo
vimeo.com

Solved Find The Equation Of The Shown Straight Line In Sl Chegg Com
www.chegg.com

Finding Linear Equations
saylordotorg.github.io

Answered Find The Equation Of The Line With The Bartleby
www.bartleby.com

2 4 Lines Slope Find The Slope Of The Line Passing Through The Given Points Ppt Download
slideplayer.com

Video Finding The General Form Of The Equation Of A Circle Nagwa
www.nagwa.com

Graphing Parabolas
saylordotorg.github.io

Graphs Of Equations
rfrith.uaa.alaska.edu

General Form Of The Equation Of A Line The Two Point Form Of The Equation Of A Line
www.nabla.hr

Axis Of Symmetry Parabola
www.learnalberta.ca

Finding Equations Of Lines If You Know The Slope And One Point On A Line You Can Use The Point Slope Form Of A Line To Find The Equation If You Know The
slideplayer.com

Video Finding The General Form Of The Equation Of A Circle Nagwa
www.nagwa.com

Converting A Circle From General Form To Standard Form Youtube
m.youtube.com

Transformation Of General Equation Of A Straight Line To Intercept Form Youtube
www.youtube.com

6 6 General Form Of A Line
www.slideshare.net

Https Encrypted Tbn0 Gstatic Com Images Q Tbn 3aand9gcsdisa2mtmuzulfssobd8vuhn17bqpfj9wjydqwoxdwqdcnktmf Usqp Cau
encrypted-tbn0.gstatic.com

Solved Find The Equation Of The Line With The Given Prope Chegg Com
www.chegg.com

Http Websites Delta Edu Bdredman Graphics 122 Exams 122exam01solutions Pdf

Answered 2 53 Using Intercept Form In Exercises Bartleby
www.bartleby.com

Slope Intercept Point Slope General Form Test
www.scribd.com

Circle Equations Mathbitsnotebook Geo Ccss Math
mathbitsnotebook.com

Point A Position In Space Has No Size Ppt Download
slideplayer.com

Solved Find An Equation For The Line With The Given Prope Chegg Com
www.chegg.com

Ex 2 Write General Equation Of A Circle In Standard Form Fractions Youtube
www.youtube.com

Answered Problem 3 Answer The Following Bartleby
www.bartleby.com

2

General And Normal Form Youtube
www.youtube.com

2

Http Www Bcsoh Org Cms Lib3 Oh01001261 Centricity Domain 951 Pre Calc 20sem 20exam 20review 202015 20answers 20 Pdf

Aim What Is The Equation Of A Line Do Now Find The Slope Of The Line 8x 5y 20 This Is The Slope Intercept Form Y Mx B Hw Handout Ppt Download
slideplayer.com

2

Linear Functions Online Algebra Tutors Tutorpace Com
www.tutorpace.com

Writing Algebra Equations Given Two Points
www.algebra-class.com

Clarifying Standard Form Rules Video Khan Academy
www.khanacademy.org

Http Websites Delta Edu Bdredman Graphics 122 Exams 122exam01solutions Pdf

General Form Of A Line Youtube
www.youtube.com

Intro To Linear Equation Standard Form Algebra Video Khan Academy
www.khanacademy.org

How To Find The Standard Equation Of A Circle Given Its General Form Youtube
www.youtube.com

Https Encrypted Tbn0 Gstatic Com Images Q Tbn 3aand9gct7zxwfmx6bv2ou 0hbjsa Rruviylwj9rstx Kaeyoqcncvvto Usqp Cau
encrypted-tbn0.gstatic.com

Https Shorelineschools Instructure Com Files 159082 Download Download Frd 1

Intro To Slope Intercept Form Y Mx B Algebra Video Khan Academy
www.khanacademy.org

General Form Of The Equation Of A Line Youtube
www.youtube.com

Intro To Point Slope Form Algebra Video Khan Academy
www.khanacademy.org

Parallel And Perpendicular Lines Linear Relationships Uzinggo
www.uzinggo.com

Perpendicular Lines From Equation Analytic Geometry Video Khan Academy
www.khanacademy.org

Vertex Form To General Form Y Intercept Flashcards Quizlet
quizlet.com

Mrs Moynihan S How To Change From Standard Form To General Form Of A Circle Math Algebra 2 Algebra Showme
www.showme.com

Find The General Form Of The Equation Of The Line Passing Through Two Points Brainly In
brainly.in

How Do You Find The General Form Of The Line Perpendicular To 3x 5y 8 0 That Passes Through The Point 8 1 Socratic
socratic.org

Answered Find An Equation For The Line Tangent Bartleby
www.bartleby.com

Solved Find A General Form Of An Equation Of The Line Thr Chegg Com
www.chegg.com

Exercise 5 1 Circle Problem Questions With Answer Solution
www.brainkart.com

Solved Find The General Form Of The Equation Of The Plane Chegg Com
www.chegg.com

Exercise Worksheet For Finding The Y Intercept From A Linear Equation In General Form
www.mathematics-monster.com

General Form Of Equation Of A Line
www.mathsisfun.com

Https Encrypted Tbn0 Gstatic Com Images Q Tbn 3aand9gcs8hmknblo27 Xeabm43 Orahl08bug95iq3oymdfb1b R1solc Usqp Cau
encrypted-tbn0.gstatic.com

Solved 1 Point Find A General Form Of The Equation Of A Chegg Com
www.chegg.com

Write The Equation Of A Line In General Form Vector Form Or Parametric Form Youtube
www.youtube.com

Forms Of Linear Equations Review Article Khan Academy
www.khanacademy.org

Bell Assignment Find The Slope Of The Line Between The Two Points 1 1 2 And 2 2 2 0 4 And 1 1 3 3 4 And 3 1 Remember The Slope Formula Ppt Download
slideplayer.com

Linear Equations
www.cliffsnotes.com

Mathematics Title Equations Of Straight Line O Y X Ppt Download
slideplayer.com

Circle Equations Mathbitsnotebook Geo Ccss Math
mathbitsnotebook.com

2

Changing From General Form Of A Line Youtube
www.youtube.com

Co Ordinate Geometry Maths Studies Ppt Video Online Download
slideplayer.com

Lesson Equation Of A Straight Line General Form Nagwa
www.nagwa.com

Solved A Write The General Form For A Linear Equation A Chegg Com
www.chegg.com

Solved Find The General Form Of The Equation That Goes Th Chegg Com
www.chegg.com

Intro To Point Slope Form Algebra Video Khan Academy
www.khanacademy.org

11 X1 T05 03 Equation Of Lines 2013
www.slideshare.net

How To Find The Equation Of A Line 8 Steps With Pictures
www.wikihow.com

Parallel And Perpendicular Lines
saylordotorg.github.io

Download File Math With Mrs Bobbitt
www.yumpu.com